
현대 프라힐스 소사역 더 프라임 위치
- 경기도 부천시 소사본동 70-7외 6필지
현대 프라힐스 소사역 더 프라임 입지

- 학군 : 부원초, 소사초, 원미초, 부천일신초, 부천일신중, 소사중, 시온고 등
- 지하철 : 1호선, 서해선 소사환승역 / 서해선 연장(소사~대곡) 예정, 연장시 7호선 9호선 이용 편리
- 도로 : 경인고속도로
- 편의시설 : 소사종합시장, 세종병원, 이마트, 홈플러스, CGV 등
현대 프라힐스 소사역 더 프라임 단지배치도


현대 프라힐스 소사역 더 프라임 평면도

- 거실1, 주방1, 욕실2, 침실3, 알파룸1
- 세탁실, 드레스룸, 파우더룸, 현관팬트리
- 확장시 거실, 침실2&3, 주방, 드레스룸, 알파룸 공간 확보
- 남향

- 거실1, 주방1, 침실3, 욕실2, 알파룸1
- 드레스룸, 세탁실
- 해당 아파트 중 가장 작은 면적 : 현관팬트리, 파우더룸 없음
- 확장시 거실, 침실2&3, 알파룸, 주방, 드레스룸 확보
- 남향

- 거실1, 주방1, 욕실2, 침실3, 알파룸1
- 드레스룸, 파우더룸, 세탁실
- 현관팬트리 없음
- 확장시 거실, 침실2&3, 알파룸, 주방, 드레스룸 확보
- 동향

- 이하 74C와 동일

- 거실1, 주방1, 침실3, 욕실2, 알파룸1
- 현관팬트리, 파우더룸, 드레스룸, 세탁실
- 알파룸이 주방과 붙어있음 : 주방&세탁실의 서브공간, 창고 등으로 활용
- 주방이 세로로 길죽한 형태 : 식탁 배치 애매
- 드레스룸이 다른 평수에 비해 작을 듯
- 확장시 거실, 침실2&3, 주방, 세탁실 공간 확보
- 남향이지만 102동 라인에 가리는 부분 있음
현대 프라힐스 소사역 더 프라임 주변 시세 (호갱 노노, KB부동산)


- 바로 옆 소사역 한라비발디 프레스티지 6월 7일부터 모집 예정
[6월 청약] 소사역 한라비발디 프레스티지 (분양가, 입지, 모집공고 등)
소사역 한라비발디 프레스티지 위치 경기도 부천시 소사본동 70-12 일원 소사역 한화비발디 프레스티지 입지 학군 : 부원초 초역세권 : 소사역 환승역(1호선, 서해선) 서울 접근성 : 1호선 통해 2정
pearlvely.com
현대 프라힐스 소사역 더 프라임 모집 공고
- 주택구분 : 민영
- 시공사 : 현대아산(주)
- 모집공고일 : 2022년 6월 2일
- 청약기간 2022년 6월 13일 ~ 2022년 6월 16일
- 당첨자발표 : 2022년 6월 22일
- 계약일 : 2022년 7월 4일 ~ 2022년 7월 7일
- 입주예정월 : 2024년 7월
현대 프라힐스 소사역 더 프라임 공급 대상

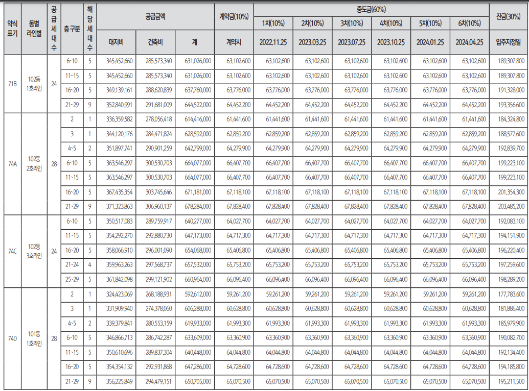
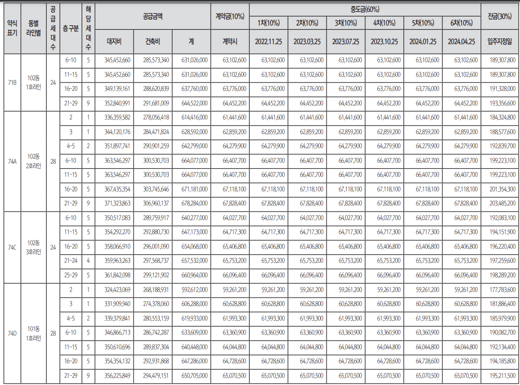
현대 프라힐스 소사역 더 프라임 분양가

신청자격
- 최초 입주자모집공고익(2022.06.02) 현재 부천시에 거주하거나 수도권(서울특별시, 인청광역시, 경기도 지역)에 거주(주민등록표등본 기준)하는 만 19세 이상인 자 또는 세대주인 미성년자(자녀 양육, 형제 자매부양)[국내에서 거주하는 재외동포(재외국민, 외국국적동포) 및 외국임 포함]
- 다만 청약 신청자 중 같은 순위 내에 경쟁이 있을 경우 해당 주택건설지역인 부천시 1년 이상 계속 거주자(주민등록표등본상 2021.06.02. 이전부터 계속하여 부천시 거주)가 우선
일반 공급 순위별 요건


- 특별공급 요건은 모집 공고문 참조
청약 신청 방법

전매 제한 기간
- 소유권이전등기일까지(다만, 그 기간이 3년을 초과하는 경우 3년)
특이사항
- 청약위축지역
모집 공고문
반응형
'청약' 카테고리의 다른 글
| 과천 렉서, 6월 분양 예정 (입지, 분양가, 평면도 등) (0) | 2022.06.04 |
|---|---|
| [무순위 줍줍] 평촌 어바인퍼스트 잔여세대 시세차익 4억(분양가, 입지, 모집공고 등) (0) | 2022.06.04 |
| 신독산 솔리힐 뉴포레 (6월 분양 예정, 분양가, 입지 등) (0) | 2022.06.01 |
| 6월 분양 예정 아파트 (수도권) (0) | 2022.06.01 |
| 의정부역 파밀리에 (6월 분양 예정, 분양가, 입지 등) (0) | 2022.06.01 |
댓글